近日,北京大学数学科学学院研究员
第49届、第50届国际数学奥林匹克竞赛
满分金牌得主韦东奕
出了一道数学题
获得了数学爱好者的广泛关注
先后有近百人提交了解题答案
一起来看题↓

韦东奕挑选了其中三份
“较好的解答举例”
均可以作为标准答案
其中有两份来自大学生
出人意料的是
其中有一份
来自广东深圳的初二学生王羿骁

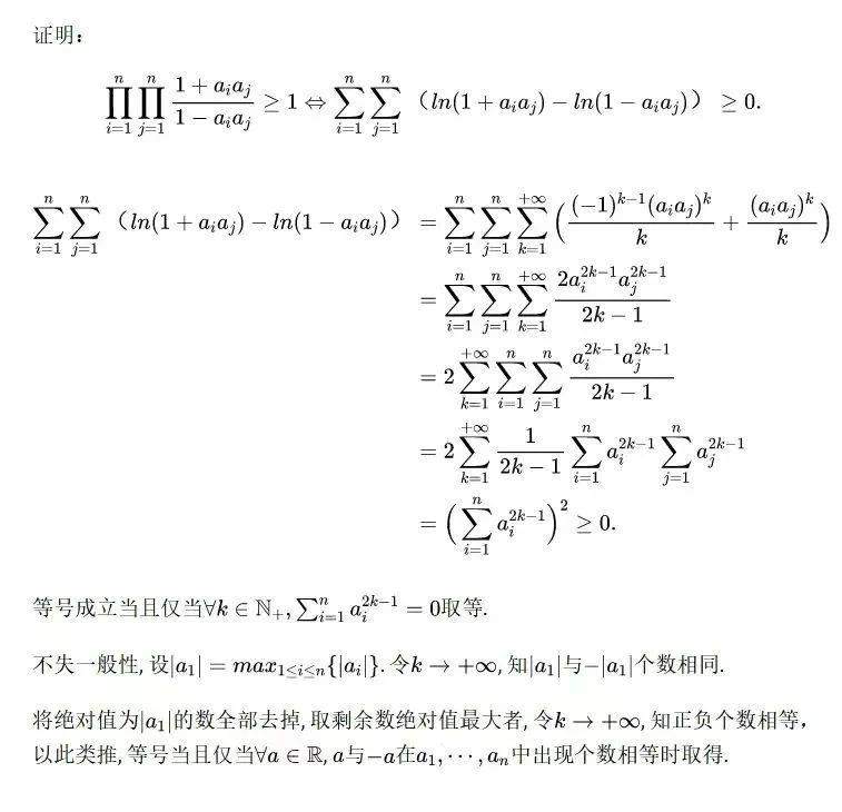
△王羿骁的解答手稿

△王羿骁的解答电子版
韦东奕评价王羿骁的解答
“给出了简洁、完备的答案
令人欣喜!”

△王羿骁生活照
王羿骁说
自己平时就对竞赛问题很感兴趣
尤其是代数部分
竞赛教练把这道题目转发给他们
鼓励他们积极投稿
“我原本以为问题会超困难
一定是毫无头绪
但在简单的恒等变换后
形成了较为显然的结论”
网友看后纷纷表示
“未来可期!”

今年14岁的王羿骁
在班主任辛桐老师眼中
是个开朗爱笑的男孩
喜欢滑板和足球
也喜欢数学
“羿骁在数学上蛮有天分
他会花很长时间钻研感兴趣的题目
遇到困难会和老师同学们讨论
有自己独特的解法也从不吝啬”
因为对数学感兴趣
王羿骁报名了学校的数学竞赛课程
现在已经是这方面优秀的学生之一
值得一提的是
北京国际数学研究中心的老师们
用ChatGPT进行了答题

△图片来自于相关报告
报告显示
“答案第二行就有错误
提示了5次也没能做对”
中国科学院院士田刚说
“目前看来
在‘解答有挑战的数学问题’这个任务上
人类大脑具有优势
但是随着AI不断升级更新
这种优势能在多大程度上保持呢?
年轻一代将肩负起
探寻这一问题答案的重任”
原标题:ChatGPT都答错的北大数学题,被一个初中生解出来了?
值班主任:颜甲